AI 橫掃醫學問答,贏麻了?牛津大學團隊實錘 AI 臨床短板
原本以為,大模型考過了醫學考試,離成為「AI醫生」也就差臨門一腳。沒想到,牛津大學最新這項研究,卻狠狠給了一記當頭棒喝。
論文地址:https://arxiv.org/pdf/2504.18919你在新聞里看到的那些「AI診斷準確率高達99%!」「大模型吊打專業醫生!」的標題,真的靠得住嗎?
牛津的研究團隊專門找來了1298個英國普通人,給他們設了十個真實的就醫場景。
他們要像現實生活中那樣判斷:我現在的症狀會不會很嚴重?該自己扛、去社區醫院,還是得立刻衝急診?有些人手裡有大模型幫忙,有些人只能自己用Google查。
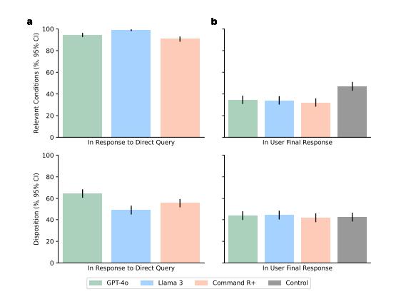
這次拿來PK的,不是什麼小模型,而是GPT-4o、Llama 3和Cohere的Command R+。理論上都是「天花板」級別的AI。
可結果呢?模型單獨答題時,表現得堪稱完美:GPT-4o能正確識別94.7%的疾病,推薦的處理方式也有64.7%是對的,Llama 3和Command R+的數字也都不低。你以為AI只要上線,人人有救?

研究方案:(a) 3名醫生編寫了10個醫療案例,經反復修改後對處置方式(從自我護理到叫救護車共5級)達成一致。(b) 另4名醫生提供鑒別診斷,彙總形成標準答案。(c) 招募1298人隨機分4組,每組測試1個案例。實驗組用大語言模型輔助判斷,對照組可使用任意方法(多數用搜索引擎或自身知識)。(d) 受試者選擇處置方式並說明相關病症。每人測試2個案例,每組最終收集600例數據,以標準答案評估結果。
可一旦讓真實用戶自己來和大模型互動,情況就變了味:用AI輔助以後,大家反而只在34.5%的場景下能說出正確疾病名,比不看AI、自己查資料的還差。選對處理方式的概率,也沒比對照組更高。AI越聰明,用戶卻越「迷糊」。
大語言模型單獨使用及與用戶協作的表現為什麼會這樣?研究團隊發現,並不是AI本身不行,而是「人和AI」這個配合環節,掉了鏈子。比如,用戶描述症狀時信息不全,AI就診斷失誤;AI給了2.2個可能選項,用戶只會採納1.33個,其中三分之一還選錯了。模型說得再明白,用戶沒能聽懂,或者沒按建議去做,那些醫學知識就像被鎖進了黑箱。

如上圖,在多個大語言模型(如 GPT-4o、LLaMA 3 70B 和 Command R+)在醫學問答任務(MedQA)中的表現,並與人類用戶進行了對比。結果表明,儘管模型在標準問答任務中普遍達到或超過人類通過標準(60%),但在模擬臨床場景中的判斷任務(如確定最佳處理方式和相關疾病條件)上表現不穩定。此外,模擬用戶的判斷準確性與真實人類用戶的表現高度相關,說明模擬用戶在實驗中可以有效代表人類行為。
圖註:交互過程中的相關病症識別情況這像不像我們生活里那些「明明有說明書還是裝錯了傢俱」「菜譜寫得清清楚楚但最後炒糊了」的瞬間?技術好歸好,人用不明白,一切白搭。你給爸媽買了最新旗艦手機,他們卻只會用來打電話發微信;AI醫生再牛,遇到現實生活的「碎片信息、臨場慌亂、溝通誤會」,一樣抓瞎。
很多人還沉浸在「AI馬上能緩解醫療資源緊張」的美夢裡。但牛津團隊潑了一盆冷水:實驗室里的高分,到了現實世界就打了折扣。用考試題、模擬病人測AI,分數再高,不能代表它能搞掂真實用戶。AI會答題,但不懂得主動追問、不知道怎樣引導患者補全信息——這才是最大短板。
更諷刺的是,模型測評用的MedQA等考試題,AI能刷滿分,輪到和真人互動,反而「翻車」了。你讓AI和模擬病人聊,結果也比和真實用戶高。AI和AI之間的交流當然順暢,可人類的表達、記憶、情緒、甚至敷衍,才是現實世界最大的bug。
當然,這項牛津研究本身也還算「半真實」:參與者是健康人,按照劇本模擬生病,比起真正帶病痛、焦慮、信息混亂的真實患者,還是有距離。AI用的是API接口,不是像ChatGPT那樣的連續對話體驗。沒有上下文,沒有「鏈式思考」,現實中的各種「人性化提示」也沒加進去。
哪怕如此,這個實驗還是給我們敲了警鍾:AI不是不能用,而是「AI+人」這套流程,才是最難啃的硬骨頭。
我們太習慣於相信「技術能一錘定音」,卻忘了現實世界的混亂、粗糙和不確定。你以為AI醫生上線就能解放一線醫生?但在真正的就醫現場,信息永遠不全,溝通永遠混亂,決策永遠充滿不確定。就像生活中那些手抖拍糊的照片,才是最接近真實的「醫學場景」。
所以,AI醫學的未來,絕不只是模型分數的競賽,而是「如何讓普通人和AI好好說話」的漫長修煉。 AI要走進醫療的最後一公里,腳下的路,還很長很長。
本文來自微信公眾號「大數據文摘」(ID:BigDataDigest),作者:文摘菌,36氪經授權發佈。








