OpenAI最新業務:找了個黑洞物理科學家
OpenAI新研究團隊,剛剛曝光了——
OpenAI for Science,致力於構建加速數學和物理領域新發現的人工智能系統。
黑洞物理學家、物理學新視野獎獲得者Alex Lupsasca官宣加盟,並且透露:
作為理論物理學家,我曾認為人工智能要觸及研究前沿,還需要很長時間。然而,GPT-5 Pro的出現徹底改變了我的看法。

他發現,只需要30分鐘,GPT-5 Pro就能解決他當時花了數天時間才計算得到的「黑洞微擾理論中新對稱性」的精確形式。
這些以及許多其他例子讓我相信:人工智能將徹底改變科學研究。
GPT-5 Pro 30分鐘解決人類幾天的難題
GPT-5 Pro具體是如何促使Alex Lupsasca(以下簡稱老盧)加入OpenAI的?
一切要從這位物理學家把自己的研究課題拋給GPT-5 Pro說起。

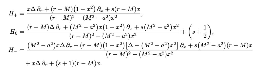
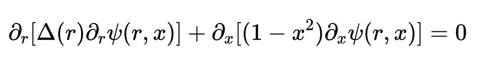
今年夏天,他發表了一篇關於黑洞微擾理論中新對稱性的論文,揭示黑洞沒有潮汐形變的能力,即路維數(Love Number)為零。
解釋這些對稱性的物理意義,對於老盧而言相對簡單,困難之處在於找到它們的精確形式。
作為人類科學家,他最終花了數天時間,才終於計算得到了這樣的公式:


GPT-5 Pro發佈後,老盧很好奇,同樣的問題讓AI來解,它是否能搞掂?
結果令他大吃一驚:GPT-5 Pro不到30分鐘就重新發現了這個結果!
△老盧分享的GPT-5 Pro推理結果老盧簡直不敢相信,接著追問GPT-5 Pro具體是怎麼想的,是否是上網搜索到了他本人的論文。

GPT-5 Pro否認了,「我是推導出來的」,並接著甩出了自己的思考大綱。

簡單來說,為了找出這個偏微分方程的李對稱性:


GPT-5 Pro的思路是:先換坐標,把原方程變換到軸對稱拉普拉斯上,利用其現成對稱性,然後再把這些對稱性按鏈式法則和雅克比矩陣推回到原來的變量里。
第一步,選個好坐標把主部「拉平」;
第二步,考慮到原方程是散度形式,在換坐標時要乘以雅克比矩陣。
第三步,套用「標準模板」的對稱性:軸對稱拉普拉斯的點對稱性是教科書級別的。
最後,把這些對稱性「拉回」到原變量(r,x)。
儘管在處理這個問題之前,需要先用平坦空間案例對GPT-5 Pro進行訓練,但在老盧看來,這點瑕不掩瑜,「其飛躍是驚人的」。
除此之外,老盧還發現,GPT-5 Pro能解決觀測天體物理學中的難題——這些問題對於一個優秀的人類研究生而言,可能也要花幾天的時間才能搞掂。
問題是:
我剛剛觀測到一個快速毫米波爆發。它的峰值通量密度約為100 mJy。它在毫秒級迅速上升,隨後是短暫的平台期,然後急劇下降。有初步證據表明同時存在光學爆發和可能的X射線活動。尚未識別出相關的宿主星系。你能否就此信號的起源提出最合理的理論解釋(或多個解釋),建議最佳的後續觀測,以及對與此類活動相關的未識別源群體的潛在影響?請同時為這項發現撰寫一份將在《自然》雜誌上發表的摘要。
用時10分鐘18秒,GPT-5 Pro給出了可能的理論解釋,提供了後續觀測建議,同時也把論文摘要寫完了。

看到了這些,老盧開始相信「人工智能將徹底改變科學研究」,這也促使他選擇加入OpenAI for Science,在一線親身見證邊界被一步步拓寬。
黑洞探測器項目負責人
回到老盧本身,他目前也是範德堡大學物理與天文系的助理教授,在數學系亦有兼職。

他分別在2011年和2017年獲得了哈佛大學的學士和博士學位。博士畢業後,他先是在哈佛大學工作了3年,擔任初級研究員。2020年加入普林斯頓大學。2022年獲得範德堡大學教職。
加入OpenAI前,老盧最重要的工作是「黑洞探測器(BHEX)」項目。
這個項目旨在將一顆衛星送入地球軌道,以拍攝天文史上最清晰的黑洞圖像:深入探測黑洞的事件視界,並測量圍繞其運行的「光子環」。
也就是說,BHEX是此前拍攝了首張黑洞照片的EHT(事件視界望遠鏡)的繼任者,有望推動黑洞研究進入高精度時代。
該任務計劃於2032年發射。
2024年,老盧還和Michael Johnson共同獲得了物理學新視野獎,這個獎項由「突破獎基金會」頒出,旨在表彰在物理學領域做出卓越貢獻的青年職業科學家。
因其在黑洞成像方面的工作,老盧還獲得了國際廣義相對論與引力學會頒發的2024年IUPAP廣義相對論與引力青年職業科學家獎。
參考鏈接:
[1]https://x.com/ALupsasca/status/1978823182917509259[2]https://lupsasca.com/
本文來自微信公眾號「量子位」,作者:魚羊,36氪經授權發佈。



















